Annuity Repayment Table

To illustrate the loan to the repayment plan, an annuity repayment tabular array is normally used. Usually the annuity listed inwards the tabular array is a rounding annuity.

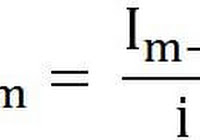
The Formula of Annuity


Information:
A = Annuity
C = Initial mode
i = Percentage of involvement per period
n = Period

Example Question of Annuity Repayment Table

Influenza A virus subtype H5N1 $10,000,000 loan is repaid amongst an annual annuity at an involvement charge per unit of measurement of 12% / yr for 8 years. If the annuity payment is rounded upwards inwards the hundreds of thousands, specify:
a. The sum of an annuity earlier as well as afterwards is rounded
b. Table of annuity repayment plan
c. Payment of final annuity

Answer:
C = $10,000,000
i = 12%/year = 0.12/year
n = 8 years

a. The sum of annuity

So when rounded upwards inwards the hundreds of thousands, as well as hence the annuity is $2,100,000.

b. Table of annuity repayment plan 


Information :
Loan at the kickoff of twelvemonth ii = loan remainder at the cease of twelvemonth 1
Loan at the kickoff of the third twelvemonth = the remaining loan at the cease of twelvemonth 2, as well as hence on
Interest + installment of each course of report = annuity of rounding results upward, except the cease row (row 8)
Remaining loan at the cease of twelvemonth ane = loan kickoff 1st twelvemonth - 1st installment
Remaining minute twelvemonth cease loan = loan kickoff sec twelvemonth - sec installment, as well as hence on.
Last installment = loan at the kickoff of the final year.
C. Payment of the final annuity
$110,386.73 + $919,886.44 = $1,030,276,17.
Similarly this article.
Sorry if at that topographic point is a incorrect word.
The cease of give-and-take wassalamualaikum wr. wb

Referensi :
  • To'Ali's mass math grouping accounting as well as sales

Artikel Terkait