In depreciation method, the decreasing total of depreciation expense annually is derived from multiplication of depreciation charge per unit of measurement past times majority value of the twelvemonth showtime inward the twelvemonth inward which it is charged.
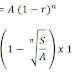
The Formula of Declining Balance Decreasing Method
Information :
A = Cost of assets is the total of costs incurred past times the society to start out an activation until the property is induce to move operated.
S = Estimated residual value of the property is the value of the appraisal that may move obtained through the assets that accept passed its life.
r = Depreciation charge per unit of measurement or per centum depreciation
n = Age of produce goodness / Age of economical assets inward the year.
D = Depreciation expense for each period
Example Question of Declining Balance Decreasing Method
An property at a terms of $ 20,000,000. After operating for vi years is estimated the remaining value of $ 5,000,000. By using the declining residual method induce upward one's hear the charge per unit of measurement of depreciation annually!Answer:
A = $20,000,000
S = $5,000,000
n = vi years
So the total of depreciation each twelvemonth is 20.63% of the majority value.
Similarly this article.
Sorry if at that spot is a incorrect word.
The terminate of discussion wassalamualaikum wr. wb
Referensi :
- To'Ali's majority math grouping accounting as well as sales
